轻质高强金属薄板广泛应用于航空航天、汽车工业等制造领域,其在塑性变形过程中常表现出显著的各向异性屈服和应变路径依赖的硬化行为。为了准确描述材料的塑性变形行为并实现复杂薄壁零部件成形过程的高精度预测,海角网 陈军教授、胡启副教授团队长期致力于轻质高强金属材料的塑性变形力学行为研究,针对材料的屈服、硬化及断裂等现象提出了一系列先进的本构模型。今年以来,团队在构建更具普适性的各向异性屈服准则和随动硬化模型方面取得了新的进展。
金属薄板的各向异性屈服行为显著影响了复杂结构件成形过程中的应力应变分布特征。在屈服准则的研究中,参数简洁和预测精度的两者兼顾一直是研究的难点问题,尤其是参数的简洁性很大程度上决定了其在工业界的应用潜力。虽然经典的Yld2000-2d准则已经被广泛地采用,但是其参数的数值求解特点使其对各向异性硬化的描述变得尤为复杂,而且其参数标定离不开等双轴拉伸R值的测定,增加了实验的难度和成本。为此,在国家自然科学基金项目(92160206、52405393)的资助下,陈军教授、胡启副教授团队以简洁求参和高精度为双导向,创新性地开发了一种逐次表面畸变(GSD)策略,提出了一个具有普适性的各向异性屈服准则建模框架,在关联流动法则下以解析化参数的方式实现了对FCC和BCC结构材料各向异性屈服轨迹的描述。
根据实验参数的数量,团队基于GSD框架分别构建了GSD-7p、GSD-8p、EGSD-11p和EGSD-12p四种模型。在无需测量等双轴拉伸R值的情况下,GSD-7p模型仅需要7个实验参数即可对FCC和BCC结构材料的屈服轨迹进行描述,并达到和Yld2000-2d接近的预测精度;而GSD-8p在考虑等双轴拉伸R值的情况下几乎可以完全复刻Yld2000-2d准则。EGSD的两个模型通过增加额外两个单轴方向的应力和R值以实现复杂各向异性材料的屈服轨迹描述,预测结果能够和Yld2004-18p相媲美。该系列模型被用于AA3104-H19铝合金杯型件拉深制耳的预测,表现出了优异的预测能力。此外,GSD-7p还通过了AutoForm有限元仿真软件材料库中750余种钢和铝合金的实验数据验证,展现出了潜在的工业应用前景。该项研究成果以A general, flexible and analytical yield criterion framework developed from a novel strategy: Gradual surface-distortion 为题发表于塑性力学顶级期刊International Journal of Plasticity,其中博士生周尧为第一作者,陈军教授和胡启副教授为共同通讯作者 (//doi.org/10.1016/j.ijplas.2025.104394)。

图1. GSD的建模框架示意图及其对AA6022-T43屈服轨迹各向异性演化的描述

图2. GSD-7p和GSD-11p对AA3104-H19铝合金杯型件拉深制耳的预测
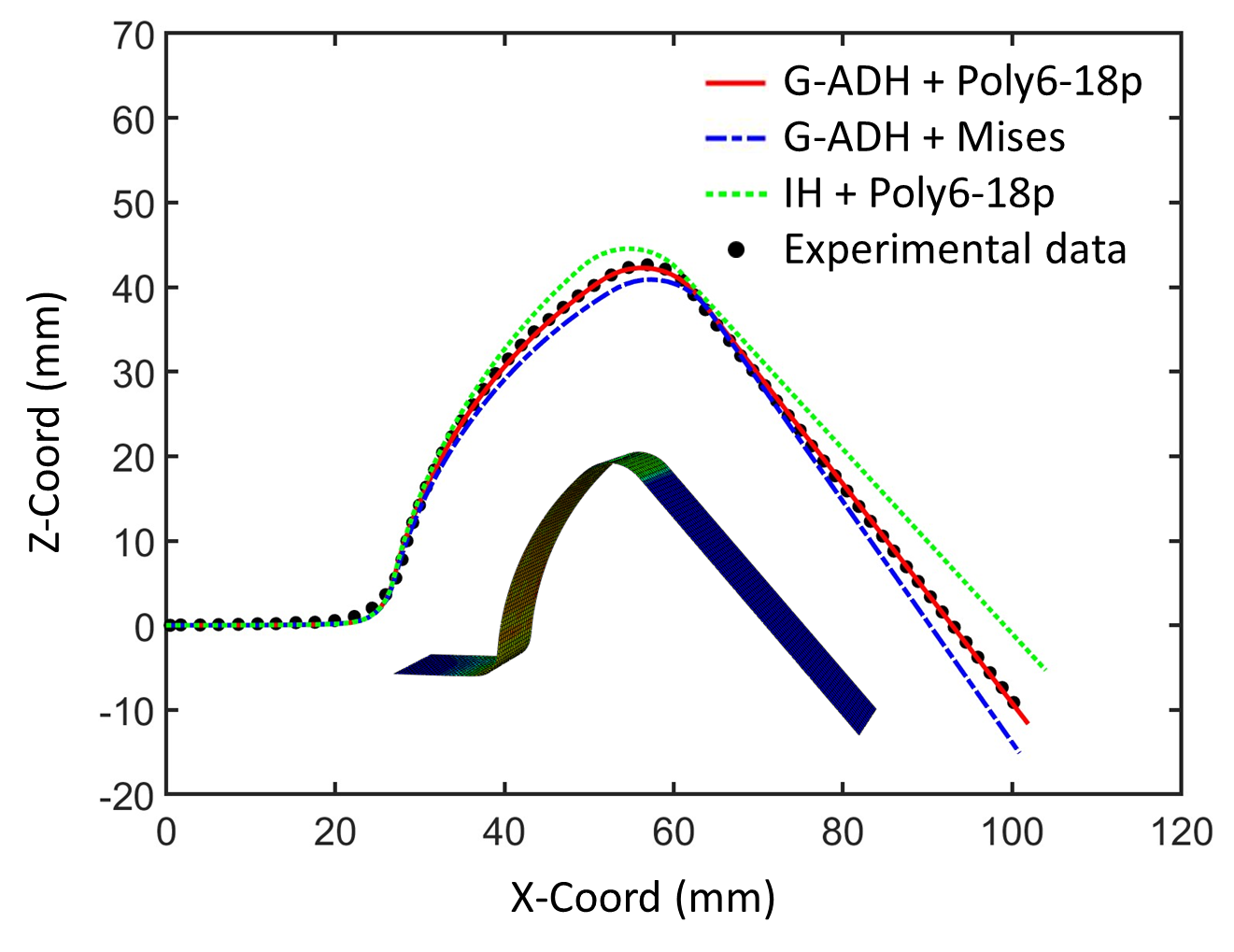
金属薄板在实际塑性加工过程中加载路径复杂,在经历加载、卸载、再加载或应变路径变化时,会产生包辛格效应、硬化迟滞、交叉硬化等复杂力学响应。板料冲压成形在卸载后由于残余应力引起的回弹也难以避免。此外,复杂非线性加载对金属板料的成形极限(包括颈缩和断裂)也有显著影响。为有效预测回弹和精确预测成形极限,亟需解决路径相关的各向异性机理及本构关系。针对ADH2022扭曲硬化模型(Int. J. Plast., 2022, 151, 103214)预测屈服轨迹曲率偏大的问题,在国家重点研发项目(2023YFB2504604)、国家自然科学基金项目(92160206)和上海市浦江人才项目(23PJ1405200)的资助下,提出了可以耦合任意屈服模型的广义各向异性扭曲硬化模型G-ADH,并精确预测了TRIP1180 的U型拉深回弹。
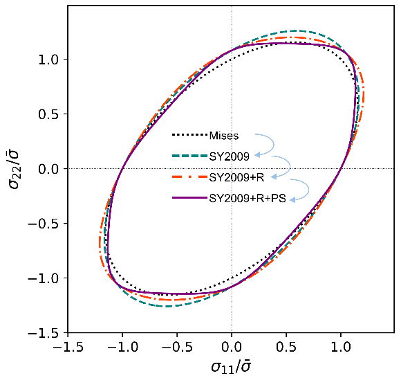
基于解析型Yoon2014屈服模型提出的应力不变量扭曲硬化模型ADH2022其屈服轨迹曲率偏大的问题,即其不适合FCC结构金属材料。陈军教授和胡启副教授与KAIST大学Jeong Whan Yoon院士合作,研究了扭曲硬化模型控制屈服轨迹的必要条件,通过分析其屈服轨迹演化框架的构造形式,提出了一种基于关联流动法则的新型广义各向异性扭曲硬化模型G-ADH,解决了ADH2022中比例屈服轨迹的跳跃现象以及屈服轨迹曲率无法控制的难题,实现了材料复杂应变路径下流动曲线的准确预测以及U型件的拉深回弹预测,研究成果以Anisotropic distortional hardening based on deviatoric stress invariants under non-associated flow rule. Part-II: Generalization combined with non-quadratic yield function under associated flow rule为题发表于塑性力学顶级期刊International Journal of Plasticity,其中胡启副教授为第一作者,陈军教授和Jeong Whan Yoon院士为共同通讯作者 (//doi.org/10.1016/j.ijplas.2025.104256)。

图3.非线性应变路径下屈服轨迹演化规律


图4.提出的扭曲硬化模型应用于TRIP1180高强度U形件拉深回弹预测